LED發光二極管 THL鎢燈發射器件 PD光電二極管光傳感器 產品工業應用
水質分析簡介
水質分析是對水體中各種物理、化學和生物指標進行檢測與評估的過程。其目的是評估水體的污染程度、判斷水源是否適合飲用或其他用途,確保環境與生態系統的健康。水質分析通常包括對水的COD值、水中油、葉綠素、濁度、營養鹽(如氨氮)等的測定。通過對這些指標的分析,能夠揭示水體污染的來源與類型,以及水質變化趨勢。

在實際應用中,水質分析廣泛用于飲用水源監測、工業廢水排放控制、農業灌溉水質監測以及自然水體的生態保護等領域?,F代水質分析技術不斷發展,采用了如光譜分析、電化學分析、質譜分析等先進手段,以提高檢測的準確性和靈敏度。通過及時有效的水質分析,不僅能保障人類健康,還能為水資源的可持續管理和保護提供科學依據。
水質分析——分光光度法測量原理
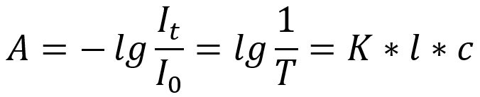
分光光度法是一種常用的分析技術,利用物質對不同波長光的吸收特性來進行定量分析。比爾-朗伯定律(Beer-Lambert Law)是分光光度法的基本定律,描述了物質對某一波長光吸收的強弱與吸光物質的濃度及其液層厚度間的關系。
物理意義是是當一束平行單色光垂直通過某一均勻非散射的吸光物質時,其吸光度與吸光物質的濃度及吸收層厚度成正比,而與透光度成反相關。表達式如下:


(其中A為吸光度,I0為入射光強度,It為透射光強度,T為透射比,K為吸收系數,l為吸收介質的厚度,c為吸光物質的濃度)
水質分析——光散射法測量原理
濁度測量雖然不是直接測量懸浮顆粒的濃度,而是測量由顆粒物的存在引起光散射效應的程度,但可間接表示氣體或溶液中懸浮顆粒物含量。濁度儀的主流測量方法為光散射法。濁度儀采用激光器/LED/鹵鎢燈作為光源照射樣品,樣品中的懸浮顆粒會產生與入射光束散射光后通過探測器檢測。

水質分析——熒光光譜法測量原理
熒光光譜法用于水質檢測的原理是具有芳香環或多個共軛雙鍵的有機化合物分子在受到光源激發后會發生激發躍遷,轉變為激發態,激發態分子會自發地通過輻射或非輻射躍遷回到基態。在這個過程中不同物質的分子會形成不同的熒光光譜,通過對得到的熒光光譜進行分析即可獲得物質濃度等信息。熒光法具有靈敏度高、檢測性好、靈敏快捷等優點。

水質分析流程圖——COD在線分析儀

水質分析流程圖——氨氮在線分析儀

水質分析流程圖——濁度儀

水質分析流程圖——水中油在線分析儀

水質分析——葉綠素在線分析儀

推薦型號
1.燈絲位置精度高,可以提供不需要光軸調整的高精度的燈泡 2.從燈絲設計到封入氣體等,可以根據客戶提出的方案進行設計 3.從紫外350nm到3000nm近紅外區域,都能提供合適的產品 4.小批量的特殊定制產品,沒有起訂量的要求
倒置系列: 100%內部量化寬松 超高RSH 平面漫射系列: 紅外抑制 高速響應 高穩定性 出色的紫外線響應
倒置系列: 100%內部量化寬松 超高RSH 平面漫射系列: 紅外抑制 高速響應 高穩定性 出色的紫外線響應
超低噪音 高分流電阻 寬動態范圍 藍光增強










